【答】E-MOSFET的閾值電壓就是使半導體表面產生反型層(導電溝道)所需" />
一、為什么E-MOSFET的閾值電壓隨著半導體襯底摻雜濃度的提高而增大?而隨著溫度的升高而下降?
【答】E-MOSFET的閾值電壓就是使半導體表面產生反型層(導電溝道)所需要加的柵極電壓。對于n溝道E-MOSFET,當柵電壓使得p型半導體表面能帶向下彎曲到表面勢ψs≥2ψB時,即可認為半導體表面強反型,因為這時反型層中的少數載流子(電子)濃度就等于體內的多數載流子濃度(~摻雜濃度);這里的ψB是半導體Fermi勢,即半導體禁帶中央與Fermi能級之差。閾值電壓VT包含有三個部分的電壓(不考慮襯偏電壓時):柵氧化層上的電壓降Vox;半導體表面附近的電壓降2ΨB:抵消MOS系統中各種電荷影響的電壓降——平帶電壓VF。

在閾值電壓的表示式中,與摻雜濃度和溫度有關的因素主要是半導體Fermi勢ψB。當p型半導體襯底的摻雜濃度NA提高時,半導體Fermi能級趨向于價帶頂變化,則半導體Fermi勢ψB增大,從而就使得更加難以達到ψs≥2ψB的反型層產生條件,所以閾值電壓增大。
當溫度T升高時,半導體Fermi能級將趨向于禁帶中央變化,則半導體Fermi勢ψB減小,從而導致更加容易達到ψs≥2ψB的反型層產生條件,所以閾值電壓降低。
二、為什么E-MOSFET的源-漏電流在溝道夾斷之后變得更大、并且是飽和的(即與源-漏電壓無關)?
【答】E-MOSFET的溝道夾斷是指柵極電壓大于閾值電壓、出現了溝道之后,源-漏電壓使得溝道在漏極端夾斷的一種狀態。實際上,溝道在一端夾斷并不等于完全沒有溝道。當柵電壓小于閾值電壓時,則完全沒有溝道,這是不導電的狀態——截止狀態。而溝道的夾斷區由于是耗盡區,增加的源-漏電壓也主要是降落在夾斷區,則夾斷區中存在很強的電場,只要有載流子到達夾斷區的邊緣,即可被電場拉過、從漏極輸出,因此夾斷區不但不阻止載流子通過,而相反地卻能夠很好地導電,所以有溝道、并且溝道在一端夾斷的狀態,是一種很好的導電狀態,則溝道夾斷之后的輸出源-漏電流最大。
E-MOSFET的溝道在漏極端夾斷以后,由于夾斷區基本上是耗盡區,則再進一步增加的源-漏電壓,即將主要是降落在夾斷區,這就使得未被夾斷的溝道——剩余溝道的長度基本上保持不變;而在溝道夾斷之后的源-漏電流主要是決定于剩余溝道的長度,所以這時的源-漏電流也就基本上不隨源-漏電壓而變化——輸出電流飽和。
三、為什么短溝道E-MOSFET的飽和源-漏電流并不完全飽和?
【答】對于短溝道MOSFET,引起輸出源-漏電流飽和的原因基本上有兩種:一種是溝道夾斷所導致的電流飽和;另一種是速度飽和所導致的電流飽和。
對于溝道夾斷的飽和,因為夾斷區的長度會隨著其上電壓的增大而有所增大,則使得剩余溝道的長度也將隨著源-漏電壓而減短,從而就會引起源-漏電流相應地隨著源-漏電壓而有所增大——輸出電流不完全飽和。不過,這種電流不飽的程度與溝道長度有關:對于長溝道MOSFET,這種夾斷區長度隨源-漏電壓的變化量,相對于整個溝道長度而言,可以忽略,所以這時溝道夾斷之后的源-漏電流近似為“飽和”的;但是對于短溝道MOSFET,這種夾斷區長度隨源-漏電壓的變化量,相對于整個溝道長度而言,不能忽略,所以溝道夾斷之后的源-漏電流將會明顯地隨著源-漏電壓的增大而增加——不飽和。
對于速度飽和所引起的電流飽和情況,一般說來,當電場很強、載流子速度飽和之后,再進一步增大源-漏電壓,也不會使電流增大。因此,這時的飽和電流原則上是與源-漏電壓無關的。
對于短溝道MOSFET,還有一個導致電流不飽和的重要原因,即所謂DIBL(漏極感應源端勢壘降低)效應。因為源區與溝道之間總是存在一個高低結所造成的勢壘,當源-漏電壓越高,就將使得該勢壘越低,則通過溝道的源-漏電流越大,因此輸出電流不會飽和。
總之,導致短溝道MOSFET電流不飽和的因素主要有溝道長度調制效應和DIBL效應。
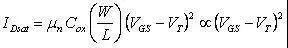
四、為什么E-MOSFET的飽和源-漏電流與飽和電壓之間具有平方的關系?

【答】增強型MOSFET(E-MOSFET)的飽和源-漏電流表示式為飽和電壓(VGS-VT)就是溝道夾斷時的源-漏電壓。在MOSFET的轉移特性(IDsat~VGS)曲線上,E-MOSFET的飽和源-漏電流IDsat與飽和電壓(VGS-VT)的關系即呈現為拋物線。導致出現這種平方關系的原因有二:
①溝道寬度越大,飽和源-漏電流越大,飽和電壓也就越高;②電流飽和就對應于溝道夾斷,而夾斷區即為耗盡層,其寬度與電壓之間存在著平方根的關系,這就導致以上的平方結果。正因為MOSFET具有如此平方的電流-電壓關系,所以常稱其為平方率器件。
五、為什么一般MOSFET的飽和源-漏電流具有負的溫度系數?
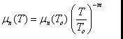
【答】MOSFET的飽和源-漏電流可表示為

在此關系中,因為材料參數和器件結構參數均與溫度的關系不大,則與溫度有關的因素主要有二:閾值電壓VT和載流子遷移率μn。
由于MOSFET的閾值電壓VT具有負的溫度系數,所以,隨著溫度的升高,就使得MOSFET的輸出飽和源-漏電流隨之增大,即導致電流具有正的溫度系數。
而載流子遷移率μn,在室溫附近一般將隨著溫度的升高而下降(主要是晶格振動散射起作用):
式中To=300K,m=1.5~2.0。遷移率的這種溫度特性即導致MOSFET的增益因子也具有負的溫度系數。從而,隨著溫度的升高,遷移率的下降就會導致MOSFET的輸出源-漏電流減小,即電流具有負的溫度系數。
綜合以上閾值電壓和載流子遷移率這兩種因素的不同影響,則根據MOSFET飽和電流的表示式即可得知:
①當飽和電壓(VGS-VT)較大(即VGS>>VT)時,閾值電壓溫度關系的影響可以忽略,則輸出源-漏電流的溫度特性將主要決定于載流子遷移率的溫度關系,即具有負的溫度系數(溫度升高,IDS下降);②當飽和電壓(VGS-VT)較小(即VGS~VT)時,則輸出源-漏電流的溫度特性將主要決定于閾值電壓的溫度關系,從而具有正的溫度系數(溫度升高,IDS也增大)。
而對于一般的MOSFET,為了獲得較大的跨導,往往把飽和電壓(VGS-VT)選取得較大,因此可以不考慮閾值電壓的影響,于是飽和源-漏電流通常都具有負的溫度系數。也因此,一般的MOSFET都具有一定的自我保護的功能,則可以把多個管芯直接并聯起來,也不會出現因電流分配不均勻而引起的失效;利用這種并聯管芯的辦法即可方便地達到增大器件輸出電流的目的(實際上,功率MOSFET就是采用這種措施來實現大電流的)。
六、為什么MOSFET的飽和區跨導大于線性區的跨導?

【答】飽和區與線性區都是出現了溝道的狀態,但是它們的根本差別就在于溝道是否被夾斷。電壓對溝道寬度的影響是:柵極電壓將使溝道寬度均勻地發生變化,源-漏電壓將使溝道寬度不均勻地發生變化(則會導致溝道首先在漏極端夾斷)。容-源-電-子-網-為你提供技術支持
本文地址:http://www.mnu8.com/Components/15453734482803.shtml
本文標簽:
猜你感興趣:
PL3902 30V N通道MOSFET
關鍵詞: 所屬欄目:元器件知識
晶振定義是什么?晶振怎么分類
晶振又稱石英晶體振蕩器,晶振是一種利用應時晶體(石英晶體)的壓電效應制成的諧振器件。
晶振是指從應時晶體上按一定方位切割下來的薄片,是時鐘電路中最重要的元件。晶振的工作原理是在一定狀態下,機械能和電能可以通過內部振蕩電路相互轉換。
關鍵詞: 所屬欄目:電子基礎
TDM3478 N-通道增強模式MOSFET芯片
概述
TDM3478使用先進的溝槽技術,提供優良的RDS(ON)和低柵極電荷。該設備適用于作為負載開關或在PWM應用程序中使用。
關鍵詞: 所屬欄目:集成塊資料
案例分享:家用電磁爐元器件散熱方式與導熱材料應用
兆科電子的熱管理材料能夠很好地解決電磁爐電路板和線圈盤等發熱元器件在復雜環境的可靠性和電磁兼容性問題。鑒于電磁爐對導熱材料的高導熱需求,兆科主要推薦的材料是導熱硅膠片和導熱硅脂產品來解決散熱方案。
關鍵詞: 所屬欄目:電源電路
HT7181 3.7V/7.4V升16V內置MOS大功率升壓IC解決方案
DC-DC升壓電路在電子電路中是很常見的,無論是匹配不同器件的工作電壓需要還是為了提高足夠的輸出功率,都必須用到升壓電路。特別是便攜式的電子產品,電源是電池供電,如單
關鍵詞: 所屬欄目:電源電路
HT7180 3.7V升12V/2A內置MOS大電流升壓IC解決方案
針對升壓值13V以下的DC-DC升壓應用需求,推廣一款集成10A開關管的12.8V輸出、大電流非同步DC-DC升壓IC:HT7180。HT7180采用獨到的電路研發技術以及先進的半導體工藝制程,基于SOP8封裝,工作效率高達90%以上,無需外加散熱器,3.7V輸入升壓到12V,可穩定輸出2A電流。
關鍵詞: 所屬欄目:電源電路
HT7179 12V升24V內置MOS大電流升壓IC解決方案
深圳市永阜康科技有限公司針對大功率的DC-DC升壓應用需求,推廣一款集成15A開關管的26.8V、120W輸出、大電流非同步DC-DC升壓IC-HT7179。HT7179采用獨到的電路研發技術以及先進的半導體工藝,重載時高達93%以上的工作效率,無需外加散熱器,升壓到26.8V,可穩定輸出120W。
關鍵詞: 所屬欄目:電源電路
MOSFET的擊穿有哪幾種?
Source、Drain、Gate —— 場效應管的三極:源級S、漏級D、柵級G。(這里不講柵極GOX擊穿了啊,只針對漏極電壓擊穿)
先講測試條件,都是源柵襯底都是接地,然后掃描漏極電壓,直至Drain端電流達到1uA。所以從器件結構上看,它的漏電通道有三條:Drain到source、Drain到Bulk、Drain到Gate。
關鍵詞: 所屬欄目:元器件知識
MOSFET和三極管ON狀態的區別?
三極管ON狀態時工作于飽和區,導通電流Ice主要由Ib與Vce決定,由于三極管的基極驅動電流Ib一般不能保持恒定,因而Ice就不能簡單的僅由Vce來決定,即不能采用飽和Rce來表示(因Rce會變化)。由于飽和狀態下Vce較小,所以三極管一般用飽和Vce表示。
關鍵詞: 所屬欄目:元器件知識
MOS管驅動是指什么
在MOS管的結構中可以看到,在GS,GD之間存在寄生電容,而MOS管的驅動,實際上就是對電容的充放電。對電容的充電需要一個電流,因為對電容充電瞬間可以把電容看成短路,所以瞬間電流會比較大。選擇/設計MOS管驅動時要注意的是可提供瞬間短路電流的大小。
關鍵詞: 所屬欄目:元器件知識
如何識別正品原裝電子器件
一般正規廠商生產的電子元器件都會在元器件的空白處標明廠家、元器件編號和生產日期等信息。
關鍵詞: 所屬欄目:元器件知識
簡易自制金屬探測器電路圖,只需少量元器件即可制作成
金屬探測器電路圖 金屬探測器可應用很多領域,當然,金屬探測器根據工作原理的不同,也可以分為很多種的類型電路,今天我們主要介紹的是用集成電路555制作的金屬探測器,由
關鍵詞: 所屬欄目:電路圖
PW2308芯片,N溝道增強型MOSFET
一般說明
PW2308采用先進的溝道技術,提供優秀的RDS(ON)、低柵極充電和低至4.5V的柵極電壓運行。該器件適合用作電池保護或其他開關應用。
特征 VDS=60V,ID=5A
關鍵詞: 所屬欄目:元器件知識
PW2337芯片,P溝道增強型MOSFET
一般說明
PW2337采用先進的溝道技術,提供優秀的RDS(ON),低柵電荷柵極電壓低至4.5V,適用于電池保護或在其他交換應用中。
特征
VDS=-100V,ID=-0.9A
RDS(開)<650m
關鍵詞: 所屬欄目:元器件知識
PW2309芯片,P溝道增強型MOSFET
一般說明
PW2309采用先進的溝道技術,提供優秀的RDS(ON),低柵電荷柵極電壓低至4.5V,適用于電池保護或在其他交換應用中。
特征
VDS=-60V,ID=-3A
RDS(開)<180m&Om
關鍵詞: 所屬欄目:元器件知識
PW2319芯片P溝道增強型MOSFET
一般說明
PW2319采用先進的溝道技術,提供優秀的RDS(ON),低柵電荷柵極電壓低至4.5V,適用于電池保護或在其他交換應用中。
特征
VDS=-40V,ID=-5A
RDS(開)<70m&Ome
關鍵詞: 所屬欄目:元器件知識
晶體管國內外命名方法講座
國內命名方法:3DG1815-Y,第一部分用阿拉伯字表示器件的電極數目 2:表示二極管;3:表示三極管;
關鍵詞: 所屬欄目:元器件知識
如何應對電子元器件行業對環境的影響
電子行業對環境造成了影響,從正面來看,在照明、電機控制、傳感器和其他眾多應用當中增加電子元器件的使用大幅提高了能效,以及對環境進行監測和控制的能力。而從負面來看,電子產品的普及導致垃圾填埋場充斥著大量電子垃圾,并且向我們的環境排放有害物質。人們已經對該行業內的多種理念和趨勢進行了探索。
關鍵詞: 所屬欄目:元器件知識
電子元器件一般到哪里買?
以前商鋪的專業性應該是一項要考慮的因素,當我們走過電子專業商鋪時,如果發現玻璃柜中各種各樣的電路板或者各種形狀的電阻接頭時,我們可以安心地走進去購買電路板或者按
關鍵詞: 所屬欄目:元器件知識
電子元器件安裝注意事項
電子元器件種類多,外形不同,引出線也多種多樣,所以在安裝是需要注意以下幾點,平尚科技為大家介紹
關鍵詞: 所屬欄目:元器件知識